Cet article est téléchargeable au format *.pdf en cliquant sur le lien suivant.
Introduction
Sur les parcours de golf, il est possible d’obtenir des greens de qualité malgré des teneurs en nutriments en-dessous des recommandations conventionnelles. C’est une des conclusions paradoxales que l’intendant peut se faire en interprétant les résultats de ses analyses de terres avec les recommandations usuellement proposées par les laboratoires.
Aux USA, les recommandations conventionnelles ont été adaptées des graminées fourragères ou des cultures agricoles1 et les valeurs ont été choisies élevées, non à cause des besoins réels des graminées à gazon mais parce que le coût de la fertilisation était secondaire2.
Ces recommandations et les interprétations ont été considérées comme problématiques depuis de nombreuses années. Plusieurs appels furent d’ailleurs lancés pour proposer des études scientifiques portant sur une meilleure calibration des analyses de terres pour différentes espèces, cultivars, types de sol et climats2–4. Il est cependant clair que des études de ce genre ne verront jamais le jour tant les espèces, les variétés et les types de sols sont variés5.
Entre 2007 et 2014, W. D. Gelernter a observé une diminution significative de l’utilisation de matières fertilisantes dans les golfs aux USA. Celle-ci s’élevait à 34% pour les engrais azotés, 53% pour les engrais à base de phosphore et 42% pour les engrais potassiques6. L’étude montre ainsi une prise de conscience de la part des intendants qui adoptent de nouvelles pratiques de fertilisation. La qualité des greens sur cette période n’a pas diminué pour autant, montrant que des teneurs en nutriments plus faibles que les recommandations conventionnelles suffisent à obtenir une surface de jeu de qualité. En France, alors qu’il n’était pas rare d’observer des plans aux alentours de 300 unités d’azote il y a quelques années, la plupart des intendants maintiennent désormais des greens d’une qualité satisfaisante avec des plans de fertilisation comprenant entre 100 et 200 unités d’azote. De nombreux golfs à travers le monde se retrouvent alors largement en-dessous des recommandations classiques avec pourtant d’excellents résultats, montrant bien la limite du système actuel mais également la difficulté pour l’intendant de gérer durablement sa fertilisation à l’aide des outils disponibles.
Récemment, M. Woods (Asian Turfgrass Center), L. J. Stowell et W. D. Gelernter (Pace Turf) ont proposé un nouveau système d’interprétation des analyses de terres pour les golfs et terrains de sports de plus en plus utilisé à l’heure actuelle : le MLSN (Minimum Level of Sustainable Nutrition)5. Il utilise un jeu de données réelles issu d’analyses de terres de nombreux golfs et terrain de sports de « bonne qualité » à travers le monde. Ce système est basé sur l’hypothèse que lorsqu’un sol contient assez d’un élément nutritif, apporter de cet élément n’a plus d’effet bénéfique sur le gazon, hypothèse démontrée par plusieurs études7–16. Ainsi, plutôt que de classer les sols selon des catégories de type « faible », « moyen », « élevé », l’étude propose de se baser sur un seuil à partir duquel le nutriment se retrouve en quantité suffisante pour répondre aux besoins du gazon5.
Les résultats reposent sur une étude statistique de 3683 analyses de terres triées sur un échantillon de 16163 analyses issues de golfs et terrains de sports en bon état au moment des prélèvements5. Une modélisation est ensuite effectuée avec un modèle log-logistique qui semble le mieux adapté au jeu de données pour chacun des nutriments. Ce modèle permet alors d’obtenir la teneur en élément nutritif (MSLN) pour laquelle la probabilité d’un sol sportif de bonne qualité d’avoir une valeur inférieure à cette teneur est de 10%5. La méthode évalue alors avec sécurité une valeur en nutriment en-dessous de laquelle il ne faut pas descendre (ou MLSN) pour obtenir un green de qualité. Le concept permet en outre à l’intendant de comparer ses valeurs aux seuils mais également au jeu de données réelles ayant permis le calcul du MLSN5.
Malheureusement, les analyses des nutriments majeurs et secondaires aux USA (Ca, Mg, K, S, P) utilisent une méthode différente (Mehlich III) des méthodes classiques européennes (acétate d’ammonium pour les bases échangeables, Joret-Hébert, Dyer et Olsen pour le phosphore) rendant impossible l’utilisation de ce nouveau concept avec les analyses de routine disponibles en France. Certaines entreprises françaises proposent toutefois aux intendants l’envoi d’échantillons aux USA ou en Angleterre pour la réalisation d’analyses utilisant les méthodes américaines. Les délais et les coûts de transport sont toutefois plus élevés d’une part et l’utilisation systématique de laboratoires étrangers rend impossible l’amélioration du système français actuel d’autre part, ce qui est dommageable pour la profession à mon sens.
Partant du principe que d’excellents laboratoires existent en France avec un coût relativement faible et des délais raisonnables, j’ai choisi d’adapter le système d’interprétation aux méthodes françaises, avec une base de données d’analyses de terres issue uniquement de greens de golfs analysés dans des laboratoires français. Ainsi, en complétant au fil du temps cette base de données, les intendants de parcours pourront utiliser avec fiabilité les seuils calculés en les comparant avec leurs résultats d’analyses de terres issues de laboratoires français. Cette adaptation de la méthode MLSN leur permettra ainsi de raisonner durablement leur fertilisation. Le nom de ce même seuil traduit en français sera appelé ici « Niveau Minimal pour une Nutrition Durable » ou NMND.
Matériel et méthode
Des analyses de substrats de greens de golfs réalisées dans des laboratoires français selon les méthodes en vigueur en France pour les analyses de routine ont été collectées. L’idée de cette étude est de ne garder que les analyses de greens de golf qui possèdent des propriétés caractéristiques des espèces de gazon bien spécifiques pour la France (agrostide stolonifère, commune et pâturin annuel). Alors que l’étude de Woods et al.5 a incorporé des analyses de substrats de terrains de sports, le choix ici a été fait de ne pas les intégrer. Pour les bases échangeables, la méthode NF X 31-108 est utilisée (acétate d’ammonium).
Comme dans l’étude de Woods et al.5, il a été choisi de filtrer des données pour ne garder que les analyses dont le pH est inférieur 8.5 et supérieur à 5.5 afin d’éviter tous les problèmes rencontrés dans les sols alcalins d’une part et de toxicité de l’aluminium d’autre part5. Seuls les substrats dont la capacité d’échange cationique est inférieure à 6 mEq/100 g de sol ont été conservés, afin de ne garder que les substrats relativement pauvres, une des caractéristiques des greens de golfs.
Pour le moment, 215 analyses constituent la base de données et 195 après filtre. Cette base de données sera mise à jour régulièrement avec de nouvelles analyses pour augmenter la fiabilité des résultats. Il est clair que l’échantillon utilisée par M. Woods est plus représentatif et fiable (3101 analyses) mais ce début de travail permettra de déboucher sur de meilleurs résultats à l’avenir. Une comparaison des résultats obtenus avec les méthodes d’analyses américaines et françaises a toutefois été effectuée pour vérifier la cohérence des résultats (voir plus bas).
M. Woods dans son étude a remarqué que le modèle log-logistique à 2 paramètres était le plus représentatif des données alors que le modèle normal était inadapté5. Dans le cas présent, les deux modèles ont été testés. Tout comme dans l’étude de Woods, le package VGAM17 dans le logiciel R (https://www.r-project.org/) a été utilisé pour identifier les deux paramètres du modèle : le paramètre d’échelle (noté « b») d’une part le paramètre de forme (noté « k») d’autre part.
La fonction de distribution cumulative d’une distribution log-logistique est donnée par l’équation 1 :
(1) F(x)=xk / (bk+xk)
La fonction quantile pour une distribution log-logistique est donnée par l’équation 2 :
(2) F-1(p)=b.(p/(1-p))1/k
Woods définit alors le MLSN comme la valeur x pour laquelle P(X≤x)=0.1 obtenue avec la fonction quantile à p=0.15. Ainsi, pour les nutriments suivants : P, Ca, Mg et K et l’ensemble des analyses de greens issues des laboratoires français : les paramètres du modèle log-logistique et le MLSN (traduit en français NMND) ont été calculés.
Les modèles et leurs paramètres ont ensuite été comparés à ceux obtenus par Woods (méthode Mehlich III). L’ensemble des valeurs NMND calculées sont enfin comparées avec les valeurs MLSN obtenues par Woods5.
Résultats
Le tableau 1 récapitule :
- Les caractéristiques des données (minimum, médiane, maximum) issues des analyses filtrées françaises (ac : acétate d’ammonium, jh : Joret-Hébert) mais également des travaux de Woods (MIII : Mehlich III) pour chacun des nutriments.
- Les paramètres d’échelles et de forme des différents modèles log-logistiques pour les données issues des laboratoires français mais également issues des travaux de Woods.
- Les valeurs MLSN calculées par Woods en 20165 et les valeurs NMND calculées sur les analyses issues des laboratoires français.
- Les recommandations usuelles données par les laboratoires français (ac) ou par les scientifiques américains (MIII).
| Nutriment | Min. | Médiane | Max. | Param. échelle | Param. forme | MLSN/NMND | Recomm. usuelles |
|---|---|---|---|---|---|---|---|
| K2O ac |
10 |
70 |
792 |
71 |
2.14 |
26 |
90-283 (75-235)** |
| P2O5 JH |
15 |
190 |
780 |
181 |
2.10 |
63 |
90-220* |
| CaO ac |
60 |
1750 |
13600 |
1788 |
1.60 |
455 |
700-1049 (500-750)** |
| MgO ac |
19 |
98 |
645 |
102 |
3.11 |
51 |
165-414 (100-250)** |
| K MIII (K2O) |
5 (4) |
89 (74) |
616 (511) |
73 |
3.20 |
45 (37) |
60-212 (50-176)** |
| P MIII (P2O5) |
2 (1) |
121 (53) |
1134 (495) |
55 |
2.23 |
48 (21) |
126 (55)** |
| Ca MIII (CaO) |
66 (47) |
797 (570) |
1415 (1012) |
548 |
4.85 |
487 (348) |
700-1049 (500-750)** |
| Mg MIII (MgO) |
28 (17) |
139 (84) |
520 (314) |
83 |
3.83 |
78 (47) |
99-232 (60-140)** |
Tableau 1 : caractéristiques des données issues des analyses réalisées avec les méthodes françaises (ac pour acétate d’ammonium, jh pour Joret-Hébert) et américaines (MIII pour Mehlich III). Paramètres calculés des modèles log-logistiques. MLSN et NMND calculées et recommandations usuelles des laboratoires français et scientifiques américains. Les valeurs sont en mg/kg. Les valeurs entre parenthèses sont les valeurs sous leur forme élémentaire (par exemple, la forme élémentaire du potassium est K et sa forme oxydée est K2O). Aux USA, la convention standard des analyses de terre est la forme élémentaire, en Europe, c’est la forme oxydée.
a : MNSD calculé à partir des analyses de greens de golf effectuées dans des laboratoires français
b : MLSN calculé par Woods et al.5
* : recommandations usuelles des laboratoires français
** : recommandations conventionnelles issues de Carrow et al.1
Comme dans l’étude de Woods de 2016, les valeurs médianes pour les données issues de laboratoires français sont inférieures aux recommandations usuelles sauf pour le phosphore. Ceci signifie qu’au moins la moitié des analyses de greens dont les performances sont acceptables sont considérées en carence et requérant des applications d’engrais selon les recommandations usuelles. Pour le potassium et le magnésium, les paramètres du modèle sont relativement proches de ceux utilisés par Woods en 2016, montrant une certaine cohérence dans les résultats pour ces deux nutriments, quelque soit la méthode de mesure utilisée. Pour le phosphore et le calcium, les paramètres sont sensiblement différents, montrant peut-être une différence entre les deux méthodes où un biais par le manque d’échantillonnage du jeu de données issu des analyses françaises. Les valeurs de MLSN sont proches pour le potassium, le magnésium alors que le calcium et surtout le phosphore montre des valeurs sensiblement différentes pour les mêmes probables raisons évoquées précédemment. Les valeurs MLSN calculées à partir de la méthode française (acétate d’ammonium) pour le phosphore et le calcium semble surestimer la valeur minimale requise par rapport à la méthode américaine (Mehlich III), ce qui va plutôt dans le sens de la sécurité.
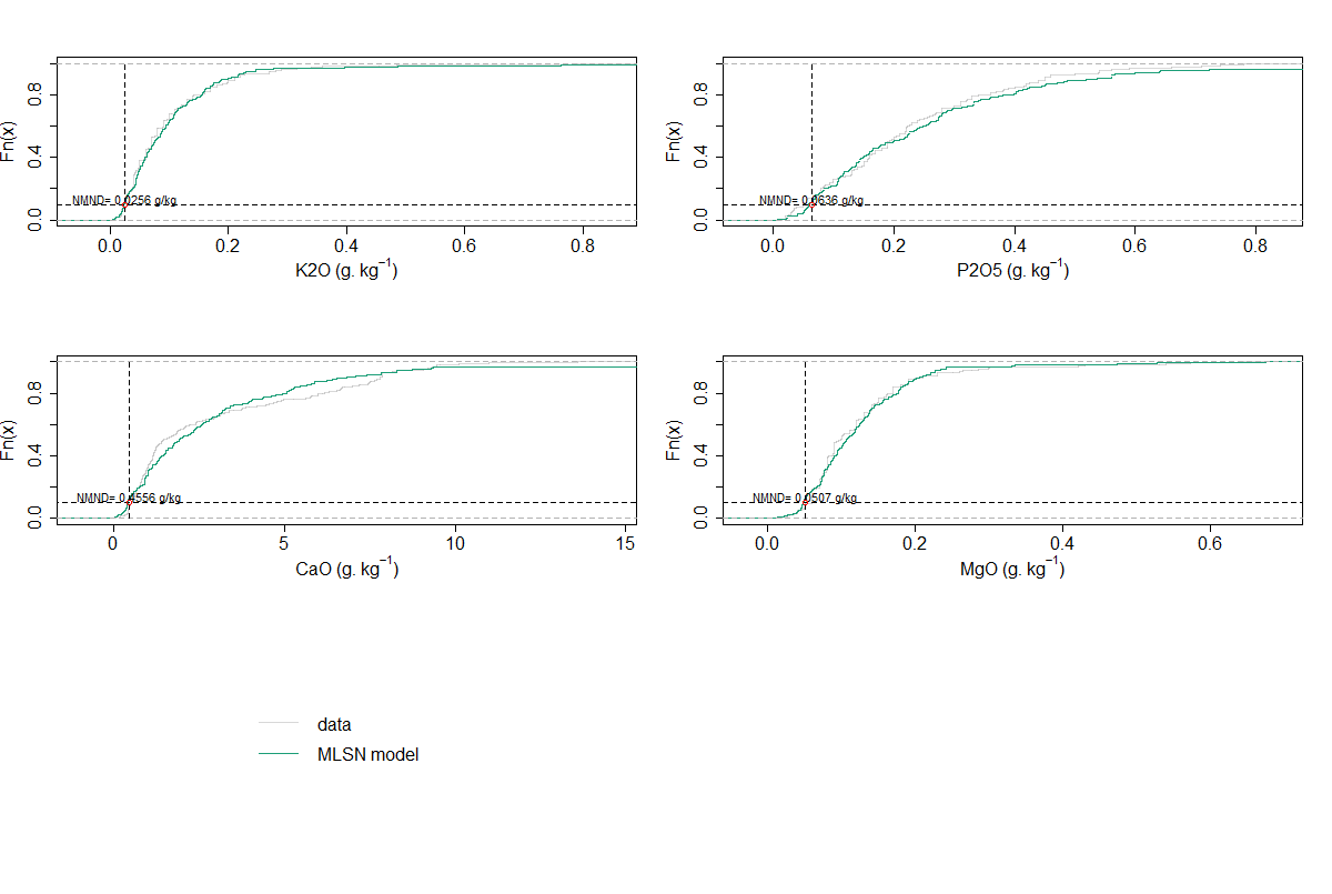
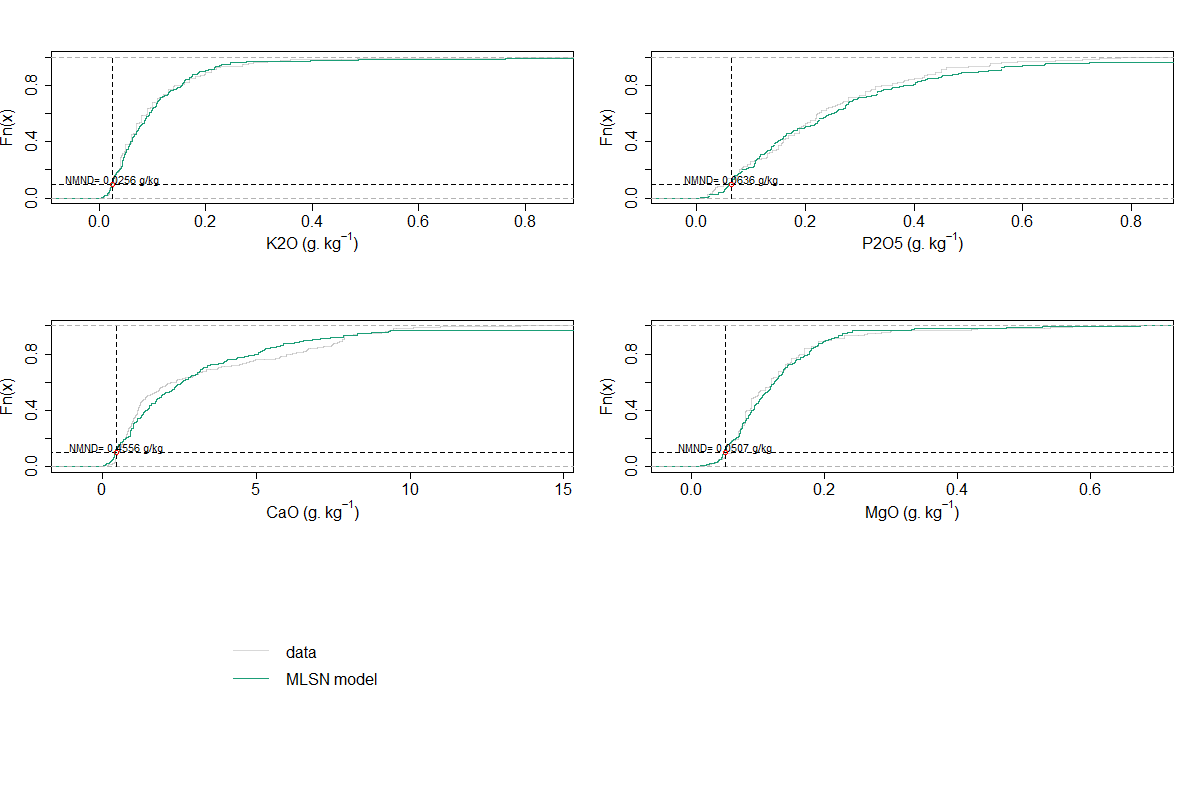
La figure 1 montre les histogrammes du jeu de données issus des analyses françaises pour les différents nutriments ainsi que les modèles log-logistique et normal calés sur les données. Le code utilisé est basé sur le code de Woods5 et adapté aux données issues des laboratoires français.

Comme dans les résultats de l’étude de Woods, la distribution normale représente mal les données alors le modèle log-logistique semble bien mieux se caler. Pour le calcium, Woods concluait en 2016 sur l’absence de modèle représentatif des données du fait de teneurs en calcium largement dépendantes de la capacité d’échange cationique. Dans le cas présent, le modèle log-logistique semble être mieux adapté même si ce dernier lisse le deuxième « pic » observé. Le faible échantillonnage comparativement à l’étude de Woods et la méthode de mesure peuvent expliquer cette différence. Concernant le phosphore, l’histogramme ne présente pas un pic aussi franc par rapport aux autres paramètres. Encore une fois, le manque d’échantillonnage peut expliquer cette caractéristique. Une seconde hypothèse pourrait reposer sur l’influence du pH sur le pouvoir extractant utilisé dans la méthode Joret-Hébert. Un nombre d’échantillon plus grand pourra peut-être permettre d’apporter une explication.
La figure 2 montre la fonction de répartition pour les données d’analyses issues des laboratoires français mais également du modèle log-logistique obtenu avec les paramètres du tableau 1. Elle permet de voir la fidélité du modèle par rapport aux données. Avec les paramètres du tableau 1, il est ainsi possible de comparer les résultats d’une nouvelle analyse issue d’un laboratoire français avec les données utilisées pour calculer le NMND. L’intendant peut alors savoir dans quelle « tranche » de valeur se situe son analyse par rapport à un grand jeu de données. Par exemple, si la valeur obtenue pour le potassium est de 0.2 g/kg alors la probabilité que la teneur d’un green de bonne qualité soit inférieure à 0.2 g/kg est quasiment de 80% ce qui montre que la teneur en potassium de son substrat est largement supérieure à la plupart des greens de golfs en bon état et que les apports en potassium peuvent être limités.

Ainsi, pour les quatre nutriments, les valeurs seuils NMND en dessous desquelles il est conseillé de fertiliser un green sont :
- Potassium : 26 mg/kg soit 0.026 g/kg
- Phosphore : 63 mg/kg soit 0.063 g/kg
- Calcium : 455 mg/kg soit 0.455 g/kg
- Magnésium : 51 mg/kg soit 0.051 g/kg
Comparaison avec les résultats de M. Woods
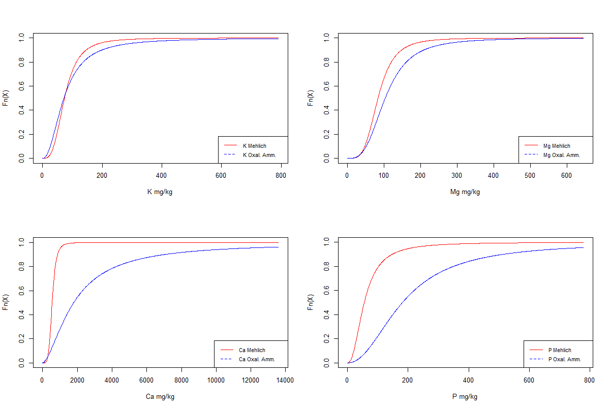
L’avantage des modèles log-logistiques à 2 paramètres réside dans la comparaison simple entre les modèles issus des données d’analyses Mehlich III (USA)5 et des données d’analyses à l’acétate d’ammonium (France). La figure 3 compare les fonctions de répartition des modèles issus des travaux de Woods (Mehlich III) et des données d’analyses de laboratoires français pour les différents nutriments. Les remarques sont les mêmes que précédemment. Les méthodes semblent converger vers les mêmes valeurs en ce qui concernent le potassium et le magnésium. Les résultats divergent pour le calcium et le phosphore où la méthode française, dans l’hypothèse où la quantité de données est suffisante, semble surestimer la valeur minimale pour ces deux nutriments.

Discussion et conclusion
Un travail de synthèse de 164 analyses de greens de qualité correcte sous la forme de distribution de probabilité a été réalisé selon la méthode utilisée par Woods et al., en 20165. Cette base de référence permettra à l’avenir de comparer de manière fiable les résultats de n’importe quelle analyse de green issue de la méthode utilisée par les laboratoires français (acétate d’ammonium).
Pour chaque nutriment, le seuil référence NMND (traduction de l’anglais « MLSN »5) est évalué à partir de la modélisation log-logistique de la distribution de probabilité. Il représente la valeur x pour laquelle un échantillon aléatoire X issu de la distribution possède une valeur de . Ces valeurs de référence sont respectivement pour le potassium, le phosphore, le calcium et le magnésium : 26, 63, 455 et 51 mg/kg.
De la même manière en 2015, L. Stowell et M. Woods avaient calculé une valeur MLSN pour les analyses du phosphore avec la méthode Olsen à partir d’un échantillon de 270 analyses. Leur valeur se situait à 5.4 mg/kg de P18 soit 12.4 mg/kg de P2O5 sous la forme oxyde. Cette méthode est disponible dans les laboratoires français et utilisée sur une large gamme de pH. Il est donc recommandé dans la mesure du possible de l’ajouter à la méthode Joret-Hébert. A noter que cette valeur est largement inférieure à celles obtenues avec les méthodes Joret-Hébert (64 mg/kg) et Mehlich III (21 mg/kg de P soit 48 mg/kg de P2O5).
Les concentrations en nutriment au sol diminuent avec la croissance du gazon et sa consommation en nutriments. L’intendant peut alors évaluer facilement la quantité d’engrais à appliquer afin de rester au-dessus du NMND, en prenant en compte les besoins du gazon sur une période définie.
Les valeurs de NMND obtenues sont inférieures aux recommandations usuelles proposées par les laboratoires mais supérieures à celles où des carences sont observées, dans la mesure où les greens échantillonnés étaient en bon état au moment du prélèvement. Cette nouvelle méthode va ainsi dans le sens d’une gestion plus durable de la fertilisation des greens.
Pour l’instant, le jeu de données n’est pas suffisant grand pour tirer des conclusions solides mais les résultats sont comparables aux données issues des travaux américains5 ce qui est encourageant. Le possible partage des résultats d’analyses de greens pour améliorer la base de données permettra je l’espère d’obtenir des résultats plus fiables et de faciliter le travail d’interprétation des intendants de parcours de golf.
Ce type de travail ouvre enfin la porte à l’interprétation de résultats d’autres nutriments comme les oligo-éléments ou à d’autres substrats sportifs spécifiques comme les terrains de sports.
Remerciements
Je tiens à remercier Micah Woods pour ses quelques conseils ainsi que les greenkeepers m’ayant envoyé leurs résultats d’analyses de terres.
J’espère à l’avenir que d’autres greenkeepers me permettront de compléter la base de données afin de diffuser des résultats toujours plus fiables. Ceux qui le souhaitent peuvent donc m’envoyer leurs résultats par mail à l’adresse suivante : r.giraud@cliniquedugazon.fr
Bibliographie
- Carrow, R. N. et al. (2004). Clarifying soil testing: III. SLAN sufficiency ranges and recommendations. Golf Course Management 72, 194–198
- Carrow, R. N., Waddington, D. V. & Rieke, P. E. (John Wiley & Sons, 2001). Turfgrass Soil Fertility & Chemical Problems: Assessment and Management.
- Turner, T. R. & Hummel, N. W. (1992). Nutritional Requirements and Fertilization. Turfgrass agronomymonogra, 385–439 https://doi.org/10.2134/agronmonogr32.c11
- Stier, J. C., Horgan, B. P. & Bonos, S. A. (American Society of Agronomy, 2013). Turfgrass: Biology, Use, and Management.
- Woods, M. S., Stowell, L. J. & Gelernter, W. D. (PeerJ Inc., 2016). Minimum soil nutrient guidelines for turfgrass developed from Mehlich 3 soil test results. https://doi.org/10.7287/peerj.preprints.2144v1
- D. Gelernter, W., Stowell, L., E. Johnson, M. & D. Brown, C. (2016). Documenting Trends in Nutrient Use and Conservation Practices on US Golf Courses. cftm 2, https://doi.org/10.2134/cftm2015.0225
- Dest, W. & Guillard, K. (2001). Bentgrass response to K fertilization and K release rates from eight sand rootzone sources used in putting green construction. Plant Science Articles
- Johnson, P., Koenig, R. & Kopp, K. (2003). Nitrogen, Phosphorus, and Potassium Responses and Requirements in Calcareous Sand Greens. Agronomy Journal 697–702 https://doi.org/10.2134/agronj2003.6970
- Kreuser, W. C., Pagliari, P. H. & Soldat, D. J. (2012). Creeping Bentgrass Putting Green Mehlich-3 Soil Test Phosphorus Requirements. Crop Science 52, 1385–1392 https://doi.org/10.2135/cropsci2011.08.0416
- Raley, R. B. (2012). Influence of Phosphorus and Nitrogen on Annual Bluegrass Encroachment in a Creeping Bentgrass Putting Green.
- Rowland, J. H. et al. (2010). Optimal Nitrogen and Potassium Fertilization Rates for Establishment of Warm-Season Putting Greens. Agronomy journal
- Rowland, J. H. et al. (2014). Drought Resistance of Warm-Season Putting Green Cultivars on U.S. Golf Association Root Zones with Varied Potassium. Agronomy Journal 106, 1549–1558 https://doi.org/10.2134/agronj14.0019
- Snyder, G. H. & Cisar, J. L. (2000). Nitrogen/Potassium Fertilization Ratios for Bermudagrass Turf. Crop Science 40, 1719–1723 https://doi.org/10.2135/cropsci2000.4061719x
- Turner, T. R. & Waddington, D. V. (1983). Soil Test Calibration for Establishment of Turfgrass Monostands 1. Soil Science Society of America Journal 47, 1161–1166 https://doi.org/10.2136/sssaj1983.03615995004700060021x
- Woods, M. S., Ketterings, Q. M., Rossi, F. S. & Petrovic, A. M. (2006). Potassium Availability Indices and Turfgrass Performance in a Calcareous Sand Putting Green. Crop Science 46, 381–389 https://doi.org/10.2135/cropsci2005.0218
- St. John, R. (2001). Supplemental calcium applications to turfgrass established on calcareous sand. Retrospective Theses and Dissertations https://doi.org/10.31274/rtd-180813-8133
- Yee, T. W. (Springer-Verlag, 2015). Vector Generalized Linear and Additive Models: With an Implementation in R.
- Stowell, L. J. & Woods, M. S. (2014). Minimum levels for sustainable nutrition (MLSN). Pace Turf publication web 1p. https://www.paceturf.org/PTRI/Documents/201408_stowell_woods_mlsn.pdf




















